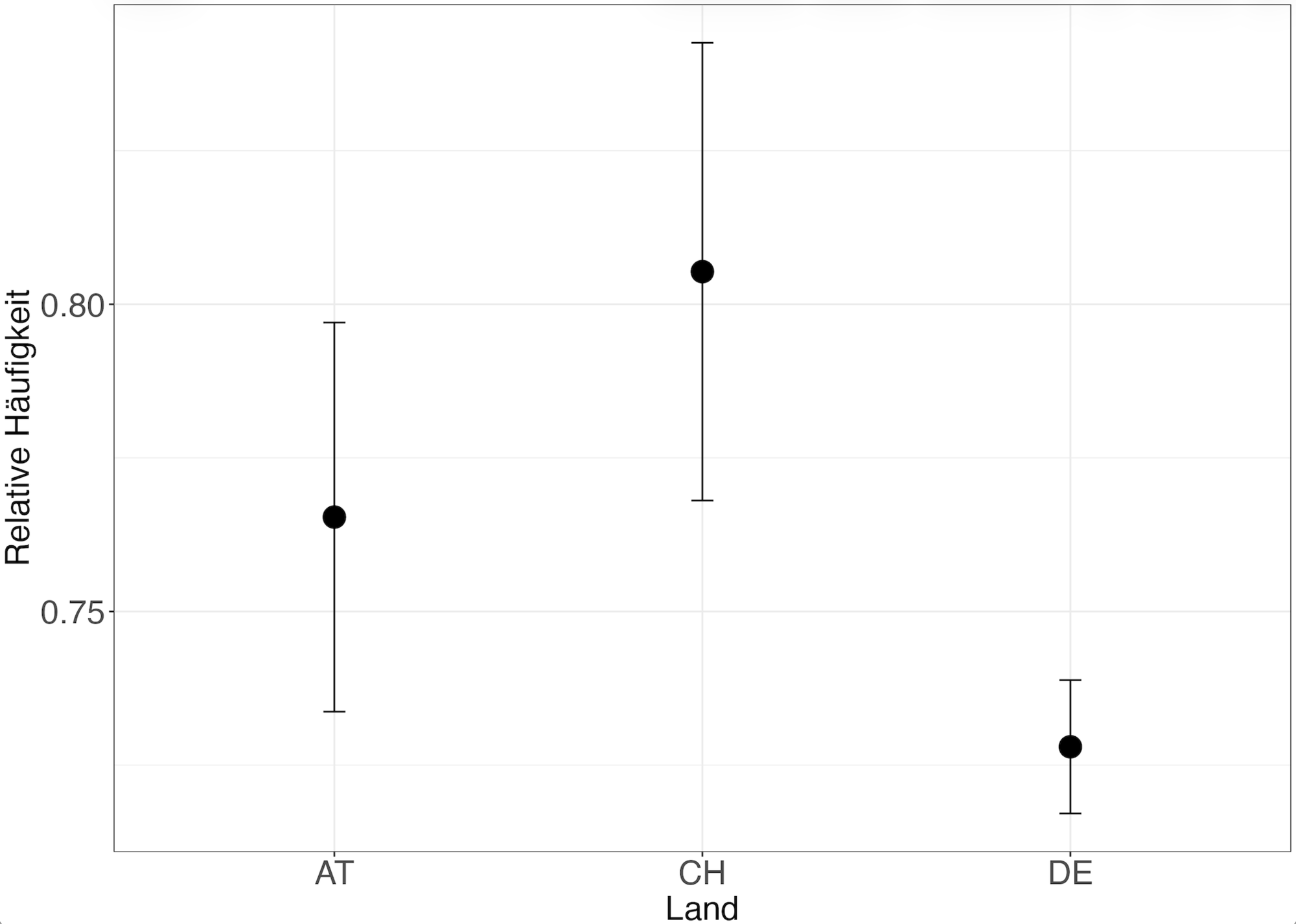
Häufigkeit von Konjunktivformen pro Land

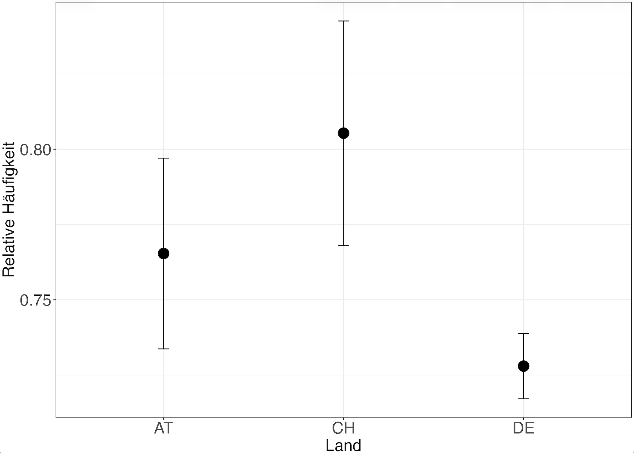
Häufigkeit von Konjunktivformen pro Land