Neue Einblicke in die Alltagssprache im deutschsprachigen Raum – letzte Umfrage gestartet
Erste Ergebnisse von über 3.000 Teilnehmenden zeigen regionale Unterschiede in der Alltagssprache
News vom 17.12.2025
Unser Projekt untersucht Unterschiede in der Alltagssprache im gesamten deutschsprachigen Raum. Mehr als 3.000 Teilnehmende aus Deutschland, Österreich und der Schweiz haben an unserer ersten Befragung (Teilprojekte P1 und P2) teilgenommen – herzlichen Dank für diese großartige Unterstützung! Dank Ihrer Mithilfe konnten wir zahlreiche spannende Erkenntnisse gewinnen.
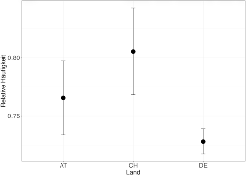
Ein Beispiel dafür sind regionale Unterschiede in der Verwendung des Konjunktivs. Unsere Daten zeigen, dass Äußerungen ohne Konjunktiv vor allem im Norden des Untersuchungsgebiets häufiger vorkommen. In Österreich und der Schweiz hingegen werden konjunktivische Formen deutlich bevorzugt. Natürlich finden sich auch Unterschiede innerhalb der einzelnen Länder: So werden etwa im Südosten Deutschlands ebenfalls mehr Konjunktive verwendet.
Das verdeutlichen die folgenden Beispiele aus unseren Daten:
(1) Tschuldigung, können Sie mir kurz Ihren Kugelschreiber leihen? (56-jähriger Mann aus Berlin, Deutschland)
(2) Entschuldigung, kenntn Sie ma kurz eanan Kuli borgen? (60-jährige Frau aus Seekirchen am Wallersee, Österreich)
(3) Tschuldigung. Chöntet sie mir ächt churz ihren Schriiber uslehnä? (38-jähriger Mann aus Basel, Schweiz)
Das ist nur ein kleiner Einblick in unsere Ergebnisse – wir konnten noch zahlreiche weitere interessante Muster in der Alltagssprache beobachten. Nach Abschluss des Projekts werden wir selbstverständlich eine umfassende Übersicht über die wichtigsten Ergebnisse veröffentlichen.
Aktuell führen wir die letzte Umfrage im Rahmen unseres Projekts durch. Wir würden uns sehr freuen, wenn Sie uns ein weiteres Mal unterstützen und an der Befragung teilnehmen. Auch das Weiterleiten der Studie an Freunde und Familienmitglieder hilft uns sehr.
Sie können teilnehmen, wenn Sie
- Deutsch sprechen,
- volljährig sind und
- 15 Minuten Zeit haben.
Zur Umfrage: https://www.soscisurvey.de/variprag_perception


