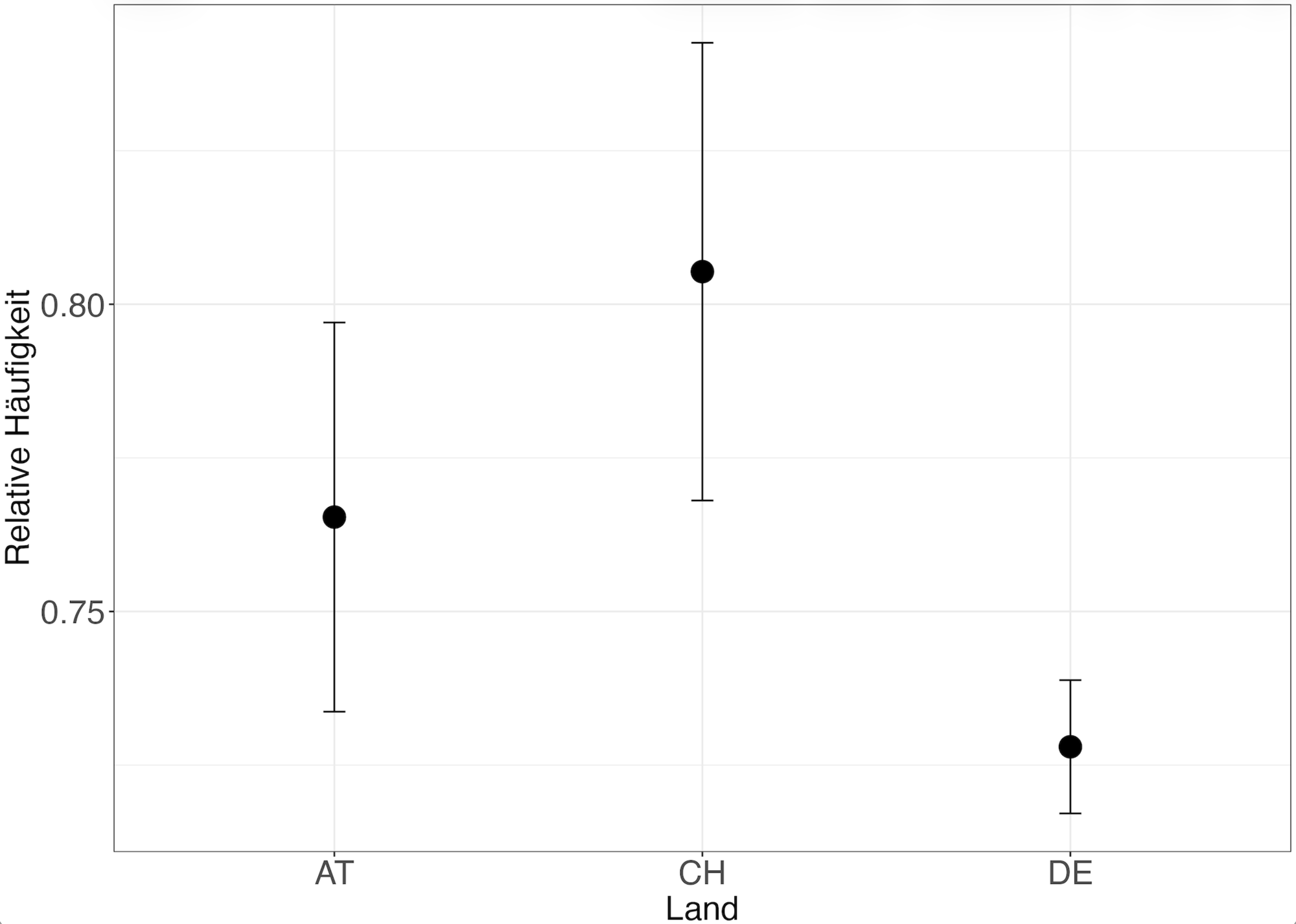
Frequency of subjunctive forms by country

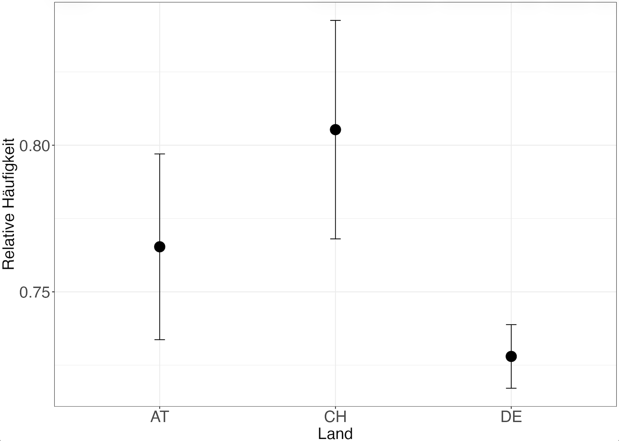
Frequency of subjunctive forms by country