New insights into everyday language in German-speaking countries – latest survey launched
Initial results from over 3,000 participants reveal regional differences in everyday language
News from Dec 17, 2025
Our project investigates differences in everyday language throughout the German-speaking world. More than 3,000 participants from Germany, Austria, and Switzerland took part in our first survey (subprojects P1 and P2) – thank you very much for your tremendous support! Thanks to your help, we were able to gain many exciting insights.
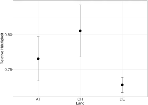
One example of this is regional differences in the use of the subjunctive. Our data show that utterances without the subjunctive are more common in the north of our study area. In Austria and Switzerland, on the other hand, subjunctive forms are clearly preferred. Of course, there are also differences within the countries: for instance, more subjunctive forms are also preferred in the southeastern area of Germany.
This is illustrated by the following examples from our data:
(1) Tschuldigung, können Sie mir kurz Ihren Kugelschreiber leihen?
‘Excuse me, can you quickly lend me your pen?’ (56-year-old man from Berlin, Germany)
(2) Entschuldigung, kenntn Sie ma kurz eanan Kuli borgen?
‘Excuse me, could you quickly lend me your pen?’ (60-year-old woman from Seekirchen am Wallersee, Austria)
(3) Tschuldigung. Chöntet sie mir ächt churz ihren Schriiber uslehnä?
‘Excuse me, could you quickly lend me your pen?’ (38- year-old man from Basel, Switzerland)
This is just a small glimpse into our findings—we observed many more interesting patterns in our analysis. Once the project is completed, we will of course publish a comprehensive overview of the most important results.
We are currently conducting the final survey as part of our project. We would be very grateful if you would support us once again by taking part in this survey. Forwarding the study to friends and family members would also be a great help to us.
You can participate in the survey if you
- speak German,
- are of legal age, and
- have 15 minutes to spare.
To the survey: https://www.soscisurvey.de/variprag_perception


